北美网备份站

标题: 美国国家档案馆里的国军前线抗战照片:从未见过,震撼人心! [打印本页]

作者: 三千口水    时间: 2016-10-27 13:30
标题: 美国国家档案馆里的国军前线抗战照片:从未见过,震撼人心!
来源:首都人网
. f/ v/ n, P& C  I6 }
( f, o6 s& k! ^0 i5 p$ Y* Y3 d& q
! J1 u0 Q9 c, C7 T9 ^  O& w

, ]$ D. ^: k8 C3 E; p) j, v
" k. J1 ?& I& ^* b4 y8 L' z+ r) r" m
* |) b  B5 M7 g$ b) u
! z! Z3 W% a- j. D( D& ~: z9 j; x+ B
“国家记忆-美国国家档案馆馆藏二战中美友好合作影像展”以美国国家档案馆馆藏二战期间美国通信兵团164照相兵连拍摄的美国与中国盟军在中缅印战场共同抗击日本侵略者的历史图片为主,辅以全国其他地区和其他机构所藏抗战影像,以直观的视觉和丰富的史料全面展现这一战区的独特性和重要性,以及在二战格局中的地位;深入展示中国远征军浴血奋战,全面抗击日本侵略者,最终取得胜利的英勇表现。
4 k; V! m* }+ t
  

9 E# c1 s% u" A" s/ ^
二战期间,美国通信兵团164照相兵连曾在中缅印战区拍摄了数万张抗战照片,并且录制了很多极其珍贵的影像材料。多年来,这些震撼人心的历史史料一直在美国国家档案馆里保存着,少有人问津。直至数月前,一些中国民间学者自筹资金,亲赴美国国家档案馆,历时两个多月从中整理出所有的抗战影像资料。这些资料包括两万三千余张战地照片和超过一百多个小时的原始影像记录。

" q+ h$ r) Z; B% s; ]* s, J+ [" x" |, S6 ~0 m8 c; C% l8 f

* y. x; a- b5 @: y6 l0 x
# y4 q2 `$ H: z% `
  
" e5 |' {( j, {
在这里我们可以看到无数真实的历史细节:国军士兵在极为恶劣的环境中,使用着第一次世界大战时的老旧重机枪;美国顾问为一直穿着草鞋打仗的中国步兵分发帆布胶鞋;缅甸、印度少数民族游击部队与中美军队并肩作战;名声赫赫的飞虎队战斗景象……

! T. T/ g( G0 l% N7 X3 d# \7 A, I5 k3 M4 @
* P* H; ^* m  Z; O' z
0 E/ _; I3 N8 k1 b
1945年9月9日,中国南京,从南京中央军事科学院的阳台上拍摄的日军签署投降书的长镜头。

9 ~: T) V4 P' O' ^0 h: i; n; w/ C; z% l* y  O7 S, [3 Y

3 e, O7 ]: t3 r+ F% b0 P/ T; ~
8 E0 ~  a+ J* k9 d6 m3 G5 J
1944年11月23日,李占宏(音Lee Chan-Hon)刚刚年满13岁,尽管已经在中华民国国军队里服役两年,仍然是稚气十足,面对镜头作微笑状。(美军通信兵(U.S.Army Signal Corps)拍摄)

. y# d* f* x+ g1 ]8 {' j' O8 P# v- x! ~# O" V& q7 O
* u$ r  E; j0 t. |2 R2 V% ?& g
8 l9 S2 B- ?" |1 G6 Q  ?5 N
1944年10月14日,收复的腾冲点燃友谊之火。一位年长的中国男人在满目疮痍的腾冲街头停下来,向一名美军军士借火,点燃他的烟。这位居民,挑着篮子装着他所剩无几的家当回到了焚毁的城里。图片中的美军隶属于Y部队顾问团成员,协助中国远征军进行这场成功的战斗。(美军通信兵(U.S.Army Signal Corps)拍摄)
/ E  ~% q9 {, [. }- P1 r

5 Y0 O) U  a; l/ @
2 t- y" y  k/ f! {% h
; ~, L+ n% _; R1 z' Q* M9 q
在中国飞行员们参观访问朴卜罗(Pueblo)的那个上午,中国人和印第安人在刚开始时因文化和语言的障碍而感觉生疏和隔阂,但在傍晚前,他们已经成为很好的朋友了。图中的中国飞行员教一个印第安男孩对着镜头行美式军礼。

* x+ `" U5 j, I
* e  t  ^0 [3 l+ ]2 P
' b, w( {0 q! u" z
2 _+ q6 i- j' F( O
1945年8月22日,日本投降后,散发给日本占领区的中国人的传单照片。
9 R$ y+ c9 a; g- u. A

; h6 \" n' N1 b' Z7 T+ D; T8 V
# R7 Z7 ^& o9 @1 J* V

; n6 E, B) B1 W1 N& B4 x
1944年5月6日,来自北达科他州的通信兵摄影师上等兵亚瑟.海吉(Pvt.Arthur W.Hedgo)在CBI(中缅印战区) 战场用中国筷子吃他的美国干粮,身旁的小孩李田右(音:Lee Ting Yow)在教他使用筷子。海吉是在前线拍摄中国军队战地影片的途中停下来休息时吃他的食品的。
) |  a) b0 r( M( z5 k, w* ?
( k7 y6 V& v. R7 Z, {
9 k8 r# T- \# I& o% M3 p2 q
1 Y. N7 ]0 H# Q$ e0 `/ ]
美国空军在华对日作战:在中国某处,当空袭警报拉响时,配备降落伞的美国飞行员们飞快地跑向他们的战机,升空驱赶来犯的日军飞机。这些驾驶美国飞机的队员在飞机引擎下方画了张鲨魚嘴。陈纳德将军的空中力量也包括轰炸机队,一直执行定期轰炸日军据点的任务。

2 s. ]9 f& I/ I. p! z5 A6 F! e# W$ N! b" r6 |7 {! P' K; X. y* K! g
  F: o- C. {, O8 S
7 e+ Q9 m$ A4 ?0 ~+ ]2 l6 d
1944年7月15日,在沿列多公路某处的康复营地里,史迪威将军脱帽对着一群中国退伍军人讲话。战争遗留下的伤残军人先在此学习新的生存技能—铁匠、 编织、 木工等, 然后离开军旅回到平民生活。这个营地当时由中美共同管理经营,大约有两百多名退伍士兵(全都有不同程度的伤残)。(美军通信兵(U.S.Army Signal Corps)拍摄,美国战争信息办公室(USOWI)发布)

7 T  G( i' T7 F  E: f5 k& v% ]. S1 A0 _. ~( P) Z6 T2 N
" u+ K+ F( `! z+ s5 E
6 g, R- Y# v7 Q' T$ Q+ e* m9 A$ y
1944年3月31日,美军士兵慰问中国战友。在缅甸北部的胡康河谷,一名美军士兵弯下腰来给一名中国伤员点燃香烟。中美联军犹如两把锋利的叉子刺向日军,将敌人逐出了具有战略地位的胡康河谷。
3 Z4 u0 j; E  T/ B! `: w
  d- \% \1 V' d

) f% E8 S! j9 e# X
9 J! |# `1 @7 Y, v/ O' I# c
1944年3月31日,照片所示体现了现代机械与传统人力劳动的强烈对比,表现中国人民奋力拖拉一个巨石碾子滚过跑道, 用血肉之躯铺筑通往民族解放之路。
7 h! ~6 Z6 F: A# w
3 H7 [' E; u. A4 l4 w* s

& D$ D  x, `; p! ^& b
' A! v# P$ [7 t1 y4 W
美军空军地勤人员疲倦地返回基地之后,一架波音B-29轰炸机再次腾空而起;从它的肚子下面钻出来的两位飞机工程师,刚刚填补了它身上的高射炮弹孔,替换上脱落的起落架。在维修保养中心,飞机工程师们昼夜不停地工作,更换零件、修理保养、调试,目标一致地将这架巨型轰炸机送上天空。图为这群开心的地勤人员从停机坪走过来,对自己的工作心满意足。人物左起依次为:马萨诸塞州的弗兰西斯.达利(Francis L.Daly)技术军士、路易斯安那州的弗兰克林.布莱恩一世(Franklin W.Brian)技术军士、堪萨斯州的孪生兄弟劳伦斯.华纳(Lawrence C.Werner)及列那多.华纳(Leonard J.Werner)技术军士、威斯康星州的乔治.科雷恩(GeorgeP.Klein)技术军士、俄亥俄州的尤金.菲尔雷(Eugene W.Fiely)技术军士。
2 \9 G/ d$ W6 u0 d3 D& W

. A5 v0 N* c) m& r- \
* n' a! A1 V, {
; ?6 ]% c, _* B( W
1945年4月12日,在缅甸腊戍附近,美军第49野战外科医生享受着美妙的音乐娱乐。(美军通信兵(U.S.Army Signal Corps)拍摄)

* s3 T1 x6 F3 [" r: h/ y% m1 V" Z
5 l! b7 a9 E: I/ J9 z
; Q2 h- A2 F+ N9 r  F+ O

" O; L4 q. E6 ]5 u: w1 l
“哗!”,还有另一个目标在墙上。加州的詹姆士·罗布农(JamesH.Lobnow)技术军士手执钉锤,对一群侵入印度蓝姆枷的“B-29”狠狠打击,当“烟消云散”的战斗结束后,发现墙上停歇着众多“飞机残骸”。“哦!真不少!这就是残酷的战争!”恐怕只能这样感叹如此奇观了。(凯佛茨(Keyfetz)参谋军士(美军通信兵(U.S.Army Signal Corps)拍摄)
5 `8 n; H, S% f- T* _

& }  ~) I3 h  p& }. R! _. }: b0 m6 x; c! H; S

' J. `/ \3 A' _3 Q: `) f
1945年3月15日,华盛顿的杰拉尔德·克瑞甘(Gerald M.Creegan)上尉以及弗吉尼亚州的霍华德·格里高里(Howard C.Gregory)上尉,与他们的中国朋友正一起从缅甸腊戍的废墟走出来。他们隶属于第5野战炮团。(谢瑞尔(Shearer)美军通信兵(U.S.Army Signal Corps)拍摄)
. j) ?1 [8 ]4 a* o

1 |& N& M6 d4 m- ~5 J
1 m2 j% k( ?& a& b

" j7 e0 x' S3 H- F# e7 Q& |
1944年9月2日,中国军队第14师42团队列里最年轻的士兵。他就是云南人李乐贝(音Lee Lew Bell)上等兵,年仅12岁,但是已经入伍一年。图为他正向两名美军联络官夸奖他的汤姆式冲锋枪。左:俄克拉何马州的步兵联络官莱缪窑约翰逊(Lemuel S.Johnson)上尉,右:华盛顿州的医务联络官上尉。

6 H( h* n3 ~- ?; K  F! e
3 U: i# B& i0 k% f
+ t5 Q/ D" o. i8 K+ x" E; W

2 l* U1 r- O, k9 B0 e& ~) M6 t
战时广州学生。这些爱国的男女青年组织起来,进一步加强民族抵抗力量。他们中的每个人都尽自己最大的能力来帮助抗战,年长的学生从军参战,医学科的学生和中学生共同成立了紧急救护队。这张照片讲述他们不知疲倦地救助那些深受战争伤痛的人的整个故事。这位紧急救护队的女学生在被炸毁的房屋废墟上,竖起了红十字会的标准 旗帜。(卡帕(Capa)/GLU/10拍摄)

' \5 q0 r' k1 C, _; o$ \3 j+ P+ `# [' i/ A* \" e  J2 f

6 h  G8 S' o1 r) b3 Y

  m9 |* O* q6 J7 z1 m+ @
中国女战士。她们有勇有谋,有坚定的信念,看到她们的家园被日本侵略者洗劫屠杀,激起了她们奋力反抗的决心。现在的中国学校里,讲求男女平等,女孩像男孩一样自由。很多女孩都自愿加入抗日武装部队,进行军事训练。强制性的军事训练使她们学到基本的军事知识和作战技巧,她们的英勇表现在前线被广为传颂。

: V5 m5 x: z" D' i, E4 r6 I! ~6 l* {: N- F9 }6 e9 {
3 O9 }) S8 ^: x+ R; T5 C( J8 T. Z5 H  x

; S) w8 U& _# H+ m* ]# K) D
1944年4月6日,给修筑机场民工送饭。中国某地,三名中国民工巧妙运用两条杠杆抬一只饭桶,给机场上艰苦劳作的民工送去。全国上下大约有30万民工参与机场修筑工程,这些机场是由中美两国工兵规划设计的,以建立攻击日军的空军基地。
" n* h. W# }  v0 S' j* y( Z

( @" h. s! p9 J$ G6 w% r1 n2 C9 I7 f7 B9 M  v) _

& k& ~+ |* Z6 _; Y
1945年2月15日,在缅甸腊戍以北55英里处,第2炮兵连的一门155毫米榴弹炮陷入溪流,找来一台卡车拖拽。(美军通信兵(U.S.Army Signal Corps)拍摄)

; a4 y) N- X! I* s* `5 R7 n6 W, Y/ J/ q
* e$ `) N) A" ]  q' v% x2 m! C
# Z, m$ Q5 [1 q9 U  X* Y9 {
喜欢小动物是全世界士兵们的相似之处。在这里,卫立煌将军麾下的中国远征军正向中国西南的怒江前线集结。在那里,中国军队发起了滇西总反攻,以突破日军对滇缅公路的封锁。士兵们带上他们的宠物猴,放在为前线运输武器给养的骡马背上。弗兰克·多恩准将指挥的美军Y部队联络官小组,在前线与中国盟军一起战斗。(1944年7月10日,Y部队参谋部公共关系办公室照片。)
8 ~0 N, S+ A$ s/ v
/ u- ~6 ]& N" [1 \/ O
! h, [" E1 j0 N2 d, b
) b& f) {/ T) l
这是第一张披露刚刚来到中国的全机械化部队的照片,展示重型坦克、摩托车队和驾驶的坦克兵。中国坦克部队的名字是根据传统生肖里的动物来命名的,比如虎、龙之类中国人较为迷信的动物。生肖动物被画在坦克车身上。这批照片拍摄于中国中部的湖南省,著名的长沙会战就在此发动。湖南有中国最好的公路网,是中国最好的稻米生产地。尽管日军数次发动攻势企图向南侵占整个湖南,然而该省仅仅有北端一小片土地被日本人占领。图中的坦克仅是中国称为“龙”(中国人发音“Long”)的坦克部队的一部分。

  s  E, U2 F! e( x3 g) V% v% H4 \& e$ s8 X) v1 Q5 l
- a3 C8 H9 N. g. @

* ~  g. Z9 P6 y- |  `  h4 P
美国轰炸机的致命俯冲。它的弹仓门已开启,一架美国B-25轰炸机在南中国海上空咆哮着向它盯上的一艘日本护卫舰冲去;这艘护卫舰是当天被击沉的两艘同类型日舰的其中一艘。
3 j# C1 T3 J) t" S0 F' }

9 Z4 A  @# h0 t) Z7 P
" H5 h, g7 B5 b- k% B9 J3 O0 x
( m* b! Z' r9 f) O
1945年9月28日,撤退的日军刚刚离开了华南,由艺术工作者组成的宣传队出现在街头,开始在布满弹孔的墙上告诉人们抗日救国的故事。这些宣传队由青年男女组成,他们紧跟挺进的部队,为士兵和百姓讲课,用图画告诉他们中国抗日战争所取得的胜利,他们还兼任新闻宣传员。(拍自华南日军撤走后的第一组照片)
6 w0 h& o3 Y! x' T; R2 L& D1 E

1 Z) b. ~; \/ v9 i. M$ l- I+ ^3 w# Q; Z3 k
+ a8 W4 F3 B, t$ a/ Z
1945年6月13日,在中国南宁,一群中国民工和中美士兵携手将一架C-47型运输机拖出一个充满泥浆的炸弹坑,该机场刚刚从日军手中夺取。(美军通信兵(U.S.Army Signal Corps)拍摄)
: k* Y) U/ x9 O  s$ H. y( u

! ~! f& J$ L" s, H* b
* |, b" `2 @/ t# E$ q" q; d

9 D1 |# v) s1 l
1944年10月11日,中国昆明,在中国的大坝机场,一名中国卫兵站立在一辆破旧的坦克残骸上警戒放哨。(摄影师:格林伯格(S.L.Greenberg)技术军士)
5 P2 j) k4 l# s& ^7 `  {1 U

( a; F- u9 ^6 N! e$ p$ ]* T9 B0 y

/ [8 l& T* d5 f( Y' A; ^7 a, b7 }
1945年8月19日,在印度潘诺图拉(Panatola)的美军墓地,密歇根州底特律的随军牧师威廉姆·鲍尔斯(William E.Powers)为13名在缅甸丛林中阵亡的美军空中运输部队战士举行葬礼。遗骸是由位于印度阿萨姆邦查巴(Chabua)的第105军需处墓地登记小 队(105 QM Graves Registration Platoon)的人员从坠机现场打捞并复原的。
. \, q, }! {, S7 R5 Q
7 x: C, ?+ U" N' B9 Y

$ S5 y7 H% j  G' F' Y& Z' r

3 G1 j9 q6 `: r. o$ [! l$ e
中国第十四空军总部,十四空军的战机——食人鲨,列队等待检修。这些战斗机在对日空战中取得惊人的十比一的好成绩。
3 W" W, J% y8 [
1 d& @5 N. `: W- r& b
% t/ f' m( a9 g. |" q

. A1 y! J; X4 _% N9 }4 n
1944年11月19日,一等兵唐纳德·E·品客,来自华盛顿州艾佛雷,为信号部摄影师。一群好奇的中国步兵把正在准备摄影设备的品客围住。品客准备拍摄一些巴莫南端的照片。

& }% O% S0 F" ?2 P7 Y
7 `, S5 c. {& |) D8 L% \
( Y2 N2 h$ Q8 G" ]6 h

" G2 ~1 E; h* \) Q4 W( g) C
巴莫,缅甸北部。中国卫兵在散兵坑中监视战地边界。这个战士要确保敌人无法渗透防线,而日军只有一百码远。
* b- j6 `0 b+ e/ w: X
9 ?2 r7 K' b% i% w
# p, x5 Q& g  W( H0 @, J' B
  E1 L' `8 c. P9 c& H/ T# X+ [
美国士兵与一个展示中国服饰的模特。从左到右依次为:大兵拉尔夫·柯蒂斯,来自波士顿的马萨诸塞;一等兵L·S·罗森,来自波士顿的马萨诸塞;下士约翰·E·史密斯,来自马萨诸塞。
$ p2 P3 G9 Z4 l
3 M3 \, @6 Y0 r) ]: b! a- e

; {; G0 Q: @) w% D

8 t2 S# ~) n7 A& D7 z, Q+ e' L7 H( `, N
1944年12月11日,在巴莫,剩余的顽固日军正在遭受第三野战炮营第九小组的轰击。操作这些武器的正是受过美军训练的中国军队。

0 |  d% {" R+ H$ ]4 y! M# p1 ^2 j) z8 q
9 U3 g+ u$ q5 _, x8 j8 H" y% k

5 d3 Y. [# u1 M! t6 j  ]6 \/ Y
1944年5月1日,巴莫,一台第七野战排一零五型豪威侧尔榴弹炮,在刚向日军轰击之后处于炮筒后座状态。
9 M: D& w+ u, q! f% H
/ d! Y$ F/ o. C% Q
. T& x( I) T' y% U3 }) ^7 }8 Z
! O8 L8 @$ Q9 D: l+ f( B
1944年12月12日,第一一四团第二连的战士携带火药补给前往巴莫前线。

2 w' \0 J7 m- s4 J' g6 K" w, y; o; I# I# ]) X' D2 r
( n1 S1 e+ R( c! z* B: e0 Y

% P& X" D8 ?  Z( z
1945年3月6日,临时坦克组的中型坦克在攻击拉戌的敌军时开过南曜河,迎接他们的是被困在这个地区的印度苦力。
& z$ O: H. _) ?, r# Y  g; D8 [# _
; O: s5 C- n& H  R7 Q2 c& T
0 b2 O: {5 B& `4 B; K& z$ z

$ b$ m) G3 x  K
1945年3月6日发,老拉戌,缅甸。第一临时坦克组的坦克正在接受改装,被用作推土机来为其他坦克开路。

3 M2 I8 v* I; b$ V4 O# o/ Y% l7 C4 x" v# R
0 T: U4 j) k, i/ L$ i4 P, b

3 I" y( d! u( z! s- [9 G1 M
1944年12月16日,照片拍摄于被中国第三十八军从日军手中拿下二十四小时后的缅甸巴莫,日军尸体和废墟一目了然。

" X8 h' r# }( Z5 S  Z: J5 b0 s: f
0 y. R& ^! r& k* ~+ k7 a( g; B
5 p9 |! @' R% N
# n  c3 y- C! s
1944年12月12日,巴莫,缅甸。一群官兵向第一一四团第一营所在前线运送一些广播设备,那里正在进行对日军的心理战。
+ }0 B# ]" v/ U9 _7 E4 v' z4 m$ j8 ~
/ D  {# k* G5 ]2 `9 Y3 W

- q, A6 |+ e" S2 P: i

6 I' s- {4 \! P0 R1 t' y1 T8 b# y
中国新式海军的八艘军舰,曾属于美国海军,正结束它们在加州圣迭戈的访问,掉头前往东方的基地。由受过美国海军培训的中国海军人员操纵船只。图为“永泰号”引擎在甲板上大修。参与人员为美国海军首席机械师大副罗伯特·加里森,外联海军军士。他正在演示引擎修理过程中的一个微妙要点。接受指导的是二等消防员李卫华(Lie kwe hwa)和袁长泰(yuan chang tai)。

8 o$ G9 G- A/ r" G( q  W+ p, W" g- G% ]2 O( J: u+ e" i+ Y

" R! _9 b/ M+ Y
6 U& s4 g, ~* E9 q6 [. h( H
1945年3月9日,中国。第二百军的士兵踩着竹子桥登上C-46,这些士兵将被空运到东部前线。
( F4 C; X  H0 [' M6 l* H: V  S; p
/ e+ {; u* l+ W/ B* E5 A

8 f- w- A7 T9 y: ]9 g) `
0 j" {' ^4 o' W
1944年9月7日,来自俄克拉荷马的第五技术兵梅尔·L·汀斯利正在给一日本女子进行紧急救护。这名日本女子在中国第八陆军收复松山阵地时受伤被擒。两名中国士兵在展示俘获的日军旗帜。
' t# Z) F7 F8 v% n; O  v7 g- a$ J! z
8 _' [. g4 U# S9 m/ Z% q9 b
9 v9 O6 P3 p3 a4 J
& J! a" a5 r" o" I& f" W3 @' h7 D
1944年9月8日,一名中国士兵站在一台刚刚缴获的火炮上。中国第八陆军炸毁了日军占领的碉堡,剿灭十五名日军。

: B3 e4 ~0 d2 u' a9 C0 d- L# W5 S2 v* t$ c! b

3 p5 ~6 u$ \  a4 Z

" ~. q) y$ a- ^) M
1944年9月10日,一辆伪装过的中国第五陆军装甲车在缅甸公路上快速开往龙陵的前线。

! S# O% {8 Q) c+ l
6 W# Q1 {  P/ E8 t, l/ K: z$ M1 W$ k, y3 ?
# l+ Q. e6 g9 l( ]0 J4 j8 q% }
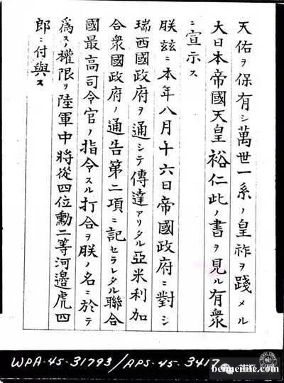
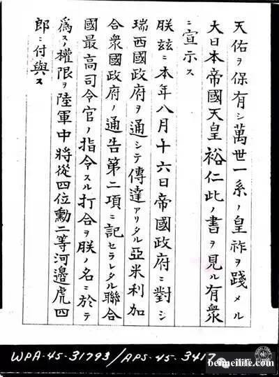
这是一张日本代表团给总参谋长麦克阿瑟将军的帝国凭证,在照片中心的是日本帝国图章构成的正方形。正上方是裕仁天皇的个人签名。

) {* c$ j( N( N1 I' ]
6 \: B- f# g8 y. _# [9 Q/ m/ r* @2 R5 u* k# o) _" {

8 S* ~  I, D( C8 M" E. g- k( U
在安排投降要求的会议之前,这是日本代表团给总参谋长麦克阿瑟将军的帝国凭据的一页。
: {0 r4 y" W( j8 b* Y
7 |' ?, h+ C" m& F/ |- [* j# a4 p2 Z

% S) Z& P% X1 @: J

( h! r8 e6 s$ e+ p
在安排投降要求的会议之前,这是日本代表团给总参谋长麦克阿瑟将军的帝国凭据的一页。





欢迎光临 北美网备份站 (http://beimeilife.duckdns.org/) Powered by Discuz! X3.2